初中数学
简答题已知向量组α1=(4,2,-2)T,α2=(4,4,0)T,α3=(-3,-1,3)T,β=(4,5,-1)T。
(1)证明向量组α1,α2,α3线性无关;
(2)将向量β用α1,α2,α3线性表示。
(1)证明向量组α1,α2,α3线性无关;
(2)将向量β用α1,α2,α3线性表示。
参考答案:暂无进入在线模考
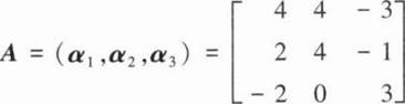
(1)以α1,α2,α3为列向量的矩阵记为A,即

只要证明r(A)=3就
说明向量组α1,α2,α3线性无关。下面用初等变换法求矩阵A的秩。因为


只要证明r(A)=3就
说明向量组α1,α2,α3线性无关。下面用初等变换法求矩阵A的秩。因为


你可能感兴趣的试题
最新试题
下面是某教材“平行四边形”一章中“菱形”一节的主要内容。我们观察平行四边形的一组邻边,如图18.2-6, 当这
类型:简答题2023-03-12
案例:学生学习了“一次函数”后,李老师布置了一个家庭作业:提出一个关于“一次函数“的实际问题并加以解决, 下面是小颖完成
类型:简答题2023-03-12
阐述中学数学课程中统计与概率的联系,以及二者在研究对象、总体分布、 结果评判三个方面的区别。
类型:简答题2023-03-12
袋子中有5张卡片,分别写有数字1- 5, 从袋中随机抽取一张卡片,记卡片上的数字为b。 放回袋中,再
类型:简答题2023-03-12
简述在中学数学教学中确定教学目标的主要依据。
类型:简答题2023-03-12
请回答义务教育数学课程中"数感"的含义,并举例加以解释。
类型:简答题2023-03-12
类型:简答题2023-03-12
类型:简答题2023-03-12
类型:简答题2023-03-12
义务教育阶级数学命题的主要类型包括( )。
类型:单选题2023-03-12


