中学数学
简答题(10分)已知数列{an}满足a1=3,an+1= an +2n,
(1)求{ an }的通项公式an;
(2)若bn=n an,求数列{bn}的前n项和sn。
(1)求{ an }的通项公式an;
(2)若bn=n an,求数列{bn}的前n项和sn。
参考答案:暂无进入在线模考
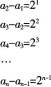
(1)由题意知:
将上式左右两边分别相加起来得:
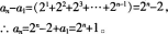
(2)

将上式左右两边分别相加起来得:

(2)


最新试题
已知向量m=(sinx,cosx),n=(cosx,cosx),f(x)=m*n, (1)求函数f(x)的最小正周期:
类型:简答题2023-06-08
(10分)已知数列{an}满足a1=3,an+1= an +2n, (1)求{ an }的通项公式an; (2)若b
类型:简答题2023-06-08
“星光大道”民间歌手选拨现场有数百观众和5名参赛选手,5名参赛选手代号分别为1至5号。现场观众根据自己的喜好投票,选出最
类型:简答题2023-06-08
已知|a|=1,|b|=2。 (1)若a∥b,求a·b; (2)若a,b的夹角为60°,求|a+b|; (3)若
类型:简答题2023-06-08
分别用分析法,综合法证明如下命题。 命题:如图。三角形ABC的角B和角C的角平分线相交于点O,过点O作平行于底边BC的
类型:简答题2023-06-08
设函数f(X)=X+aln(1+X)+bXsinX,g(X)=kX3,若f(X)与g(X)在X→0是等价无穷小,求a,b
类型:简答题2023-06-08
如图,正方体ABCD-A1B1C1D1中,求BB1与平面C1DB所成角的正切值为__________。
类型:填空题2023-06-08
类型:填空题2023-06-08
若实数x,Y满足则z的取值范围是_________。
类型:填空题2023-06-08
两个袋子中都装有红、黄、白三个小球,这些球除颜色外,形状、大小、质地等完全相同。搅匀后,在看不到球的条件下,随机分别从两
类型:填空题2023-06-08