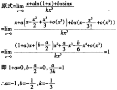
中学数学