初中数学
单选题
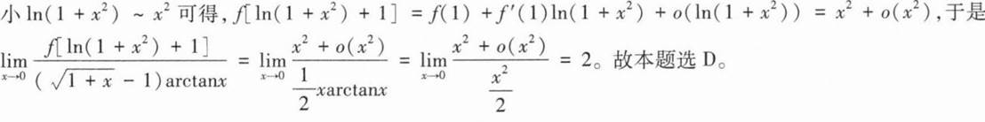
A.-2
B.-1
C.1
D.2
参考答案:D进入在线模考

你可能感兴趣的试题
2 若在区间[0,3]上随机取两个数x,y,则满足y≥2x的概率为( )。
A.
B.
C.
D.
3 《义务教育数学课程标准(2011年版)》指出,教学中应当注意几个重要关系,其中不包括( )的关系。
A.合情推理与演绎推理
B.“预设”与“生成”
C.面向全体学生与关注学生个体差异
D.理论与实践
最新试题
下面是某教材“平行四边形”一章中“菱形”一节的主要内容。我们观察平行四边形的一组邻边,如图18.2-6, 当这
类型:简答题2023-03-12
案例:学生学习了“一次函数”后,李老师布置了一个家庭作业:提出一个关于“一次函数“的实际问题并加以解决, 下面是小颖完成
类型:简答题2023-03-12
阐述中学数学课程中统计与概率的联系,以及二者在研究对象、总体分布、 结果评判三个方面的区别。
类型:简答题2023-03-12
袋子中有5张卡片,分别写有数字1- 5, 从袋中随机抽取一张卡片,记卡片上的数字为b。 放回袋中,再
类型:简答题2023-03-12
简述在中学数学教学中确定教学目标的主要依据。
类型:简答题2023-03-12
请回答义务教育数学课程中"数感"的含义,并举例加以解释。
类型:简答题2023-03-12
类型:简答题2023-03-12
类型:简答题2023-03-12
类型:简答题2023-03-12
义务教育阶级数学命题的主要类型包括( )。
类型:单选题2023-03-12

