证券投资基金基础知识
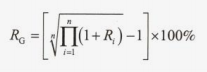
A.22%
B.21%
C.20%
D.19%

代入题目中的数据:[(1+44%)^1/2-1]×100%=20%。
综上,该题选C,选项ABD错误。
你可能感兴趣的试题
A.基金通常可以获取与业绩比较基准相同的收益
B.反映基金的投资策略,为基金业绩评估提供基础
C.可以帮助投资者评估和跟踪基金经理的投资能力和基金产品的业绩表现
D.帮助基金进行业绩度量、业绩归因和业绩评估
A.股票市场下行期间,不动产或大宗商品等另类资产经常呈现不同的价格走势,在任何市场条件下都可以用来平衡投资组合整体表现
B.某些另类投资(如特定类型的对冲基金)本身与股票市场高度相关,无法提供有效的多元化保护
C.投资组合中纳入另类投资可能有助于降低整体风险和波动性
D.另类投资与传统资产类别(如股票和债券)的相关性通常较低,有时甚至呈负相关
A.100亿元、1元
B.90亿元、1元
C.100亿元、0.9元
D.90亿元、0.9元
最新试题
某资产管理公司在一只社会责任气候行动股票基金中,要求被投企业必须遵守联合国全球契约原则,不参与军备、烟草、动力煤等争议性
某投资者计划将一笔资金进行长期储蓄,选择了年利率为4%的连续复利计息方式。已知自然对数的底数e约为2.71828。如果该
关于 MOM 产品的特点,下列表述正确的是( )。 Ⅰ. 母管理人仅负责子管理人筛选,不参与资产配
中央金融工作会议提出的 “五篇大文章”不包括( )。 Ⅰ. 科技金融 Ⅱ. 消费金融 Ⅲ. 跨境金
下列关于全球证券投资基金业发展趋势与特点的表述,正确的是( )。 Ⅰ. 市场格局呈现美国领先、单极
基金与股票、债券的差异主要表现在( )。 Ⅰ. 投资关系不同 Ⅱ. 投向不同 Ⅲ. 收益与风险特性
现金替代通常分为( )。 Ⅰ. 禁止现金替代 Ⅱ. 可以现金替代 Ⅲ. 必须现金替代 Ⅳ. 全额现
某成立已满 7 年的投资机构宣称遵守 GIPS 标准,根据 GIPS 的业绩历史要求,该机构至少需要报告( &
GIPS的主要目标包括( )。 Ⅰ. 维护投资者利益,建立信任 Ⅱ. 确保业绩数据的准确性、一致性
某基金评价机构在评估基金时,仅依据过去 1 个月的短期业绩就给出 “五星” 评级,这一做法违反了基金评价的(
