物理化学综合
简答题(12分)如图,一质量为m1的木块静置在光滑的水平面上,一质量为m2的子弹以速度v0水平射入木块,进入木块s距离后相对木块静止。设子弹相对木块静止前受到的阻力恒定。求从子弹开始进入到相对木块静止这段时间内
(1)子弹与木块组成的系统损失的机械能。
(2)木块移动的距离。
(1)子弹与木块组成的系统损失的机械能。
(2)木块移动的距离。
参考答案:暂无进入在线模考
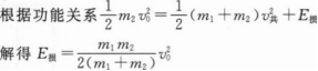
(1)根据动量守恒定律m2v0=(m1+m2)v共
(2)设子弹与木块间摩擦力为f,则E损=fs
(2)设子弹与木块间摩擦力为f,则E损=fs
你可能感兴趣的试题
最新试题
(10分)工业上用焙烧NaHCO3的方法生产纯碱(Na2CO3)。现有17.5 g的NaHCO3样品,加热分解完全后,生
类型:简答题2024-08-13
(11分)一绝缘细绳上端固定,下端连接在一质量m=0.08 kg、长度ι=0.4 m的均匀金属棒中心,整个装置处在一匀强
类型:简答题2024-08-13
(12分)如图,一质量为m1的木块静置在光滑的水平面上,一质量为m2的子弹以速度v0水平射入木块,进入木块s距离后相对木
类型:简答题2024-08-13
短周期元素X、Y、Z的原子序数依次增大。Z原子最外层电子数与最内层电子数相等;Y原子最外层电子数是内层电子数的3倍;X原
类型:简答题2024-08-13
利用下图这套装置,选取合适的一组物质(碳酸钙和稀盐酸、二氧化锰和浓盐酸、氯化铵和氢氧化钙),可以制取的气体的化学式为__
类型:简答题2024-08-13
实验室用浓硫酸配制250 mL 4.8 mol/L的硫酸溶液,用到的仪器有:玻璃棒、胶头滴管、量筒、________和_
类型:简答题2024-08-13
柠檬汁中的柠檬酸具有酸性,柠檬酸分子(结构如图所示)中含有________种官能团。
类型:简答题2024-08-13
FeCl3溶液中先通入过量的SO2,再滴加BaCl2溶液,产生的白色沉淀为________(填化学式),说明SO2具有_
类型:简答题2024-08-13
NO2不能采用排水法收集,请用化学方程式说明其原因:________。
类型:简答题2024-08-13
写出正戊烷的两种同分异构体的结构简式:________、________。
类型:简答题2024-08-13
