投资银行业务(保荐代表人)
某上市公司派发当期每股股息1元/股,假设必要收益率为10%,银行下一年(一笔)定期存款利率为2%。目前该公司股价为50元/股。回答下列问题(假设各题之间不存在关联)。
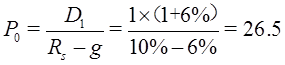
如预计该上市公司以每年股息6%的增长率,根据固定股利增长模型,该公司股票()。
A.未被高估或低估
B.被高估32.33元
C.被低估3元
D.被高估23.5元

该公司股票目前的股价为50元/股,被高估了:50-26.5=23.5(元)。
你可能感兴趣的试题
A.该公司股票被低估
B.该公司股票的内在价值为10元/股
C.该公司股票的净现值为40元
D.该公司股票的内含收益率为2%
深交所创业板某上市公司2022年末经审计的总资产为10亿元,归属于母公司股东的净利润(扣非前后孰低)为1亿元。张某于2022年12月通过二级市场购买该公司4%股份;2023年3月,张某通过协议方式收购该公司第一大股东所持的该公司20%股份,并成为该公司的实际控制人,当月完成股权转让过户,张某未承诺放弃在该公司相关股份的表决权。2023年5月,该上市公司拟向张某购买其控制的某标的公司。该标的公司最近3年经审计的财务情况见下表(单位:万元)。标的公司整体估值8亿元,上市公司以4.8亿元现金收购其60%股权,并取得其控制权。

假设各题之间不存在关联,回答下列问题:
关于收购人张某的说法,正确的有()。
A.张某通过协议方式收购第一大股东所持的该上市公司20%,应当编制详式权益变动报告书
B.张某在二级市场购买该上市公司4%股份,应当编制权益变动报告书
C.在协议收购完成后1个月内持股比例降至20%,或向其他股东发出要约
D.张某通过协议方式收购第一大股东所持的该上市公司20%,还应当聘请独立财务顾问
A.本次交易构成重大资产重组
B.本次交易应当报深交所审核
C.本次交易应当报证监会注册
D.本次交易构成重组上市
最新试题
上市公司实施本次激励计划的对象,可以是( )。
根据材料,回答 问题 上市公司拟实施 2023 年限制性股票激励计划,股票来源为上市公司向激励对象定向发行的公司 A 股
自上市公司首次披露回购股份事项之日起至发布回购结果暨股份变动公告期间,( )不得直接或者间接减持本
上市公司董事会审议通过本次回购事项,则回购实施期间,公司合计持有的本公司股份数不得超过( )。
根据材料,回答 问题 上交所某上市公司截至2023年4月27日,已经连续20个交易日公司股票收盘价格跌幅累计达到30%,
5月12日以后,相关主体应当就本次控制权变更事宜履行( )义务。
根据材料,回答 问题 深交所创业板上市公司A因公司控股股东B及实际控制人赵某正在筹划公司控制权变更事宜且该等事项尚存在不
华科技术股份有限公司短期融资券经交易商协会注册专家会议评议通过后,若发生( )事项的,公司应重新修
根据材料,回答 问题 华科技术股份有限公司为进一步拓宽公司融资渠道,降低融资成本,为业务发展提供良好的资金保障,公司拟向
宏林公司的套期保值交易部门应当根据市场价格变化及时向公司管理层和董事会提交包含( )内容的风险分析
