证券投资顾问业务
A.
A.
B.
B.
C.
C.
D.
D.
你可能感兴趣的试题
A.671561
B.564100
C.871600
D.610500
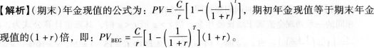
A.预付年金
A.期初
A.期初
B.永续年金
B.期末
B.期末
C.递延年金
C.期中
C.期中
D.增长年金
D.期内
D.期内
A.相等;不同;相同
A.相等;不同;相同
A.相等;不同;相同
B.相等;相同;相同
B.相等;相同;相同
B.相等;相同;相同
C.相等;相同;不同
C.相等;相同;不同
C.相等;相同;不同
D.不等;相同;相同
D.不等;相同;相同
D.不等;相同;相同
最新试题
该投资机构拟从经济基本面、政策面、资金面三大维度对利率债进行分析,下列说法错误的是( )
根据材料,回答题: 某投资机构拟计划进行为期1年的债券投资,债券品种包括国债、公司债等。假定当前债券市场上有3只国债和1
经纪业务客户桂某,到证券公司营业部提出证券投资顾问服务要求,该营业部相关人员按照公司制定的程序和要求,了解客户的身份、财
消费贯穿于个人的一生,而收入与支出却呈现较大的波动性。因此对现金、消费及债务的管理非常必要,其目的在于使可用的资金保障计
某公司某年末净赚利润为150万,营业收入为3000万,资产总额为2000万元,股东权益为1000万元。下列财务指标正确的
某公司的可转换债券,面值为1000元,转换价格为25元,当前的市场价格为1150元,其标的股票当前的市场价格为27元。
某公司的可转换债券,面值为1000元,转换价格为25元,当前的市场价格为1150元,其标的股票当前的市场价格为27元。
A公司2016年8月至11月雇佣王某、张某等5名证券投资咨询人员制作股评节目,并在四川卫视、广西卫视、山东卫视和辽宁卫视
按保险标的不同可将保险产品分为财产保险和人身保险 ()
证券投资顾问人员可以以个人名义向客户收取投资顾问服务费用。
