夏普比率
夏普比率是一种考虑风险调整的基金业绩评估方法。夏普比率数值越大,代表单位风险超额回报率越高,基金业绩越好。
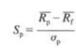
此比率是用某一时期内投资组合平均超额收益除以这个时期收益的标准差。公式
为:
。即 
例题2. 假设当前无风险收益率为5%,基金P的平均收益率为40%,标准差为0.5,则该基金的夏普比率为()。
A.0.7
B.0.3
C.1.4
D.0.6
例题3. 某投资组合的平均收益率为14%,收益率标准差为21%,β值为1.15,若无风险利率为 6%,则该投资组合的夏普指数为()。
A.0.07
B.0.13
C.0.21
D.0.38计算题答案及解析
例题1
