第 1 题 (单项选择题)
重大危险源是指长期或短期生产、加工、运输、使用或贮存危险物质,且危险物质的数量()临界量的功能单元。
A.等于 B.等于或超过 C.超过 D.低于
正确答案:B,
第 2 题 (单项选择题)
对于某种或某类危险物质规定的数量,若功能单元中物质数量等于或超过该数量,则该功能单元定为()。
A.非重大危险源 B.一般危险源 C.重大危险源 D.危险源
正确答案:C,
第 3 题 (单项选择题)
功能单元是指至少应包括一个(套)危险物质的主要生产装置、设施(贮存容器、管道等)及环保处理设施,或同属一个工厂且边缘距离()的几个(套)生产装置、设施。
A.大于500m B.小于500m C.小于800m D.大于800m
正确答案:B,
第 4 题 (单项选择题)
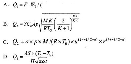
下列公式( )是用来计算液体泄漏速率的。

正确答案:A,
第 5 题 (单项选择题)

正确答案:B,
第 6 题 (单项选择题)
下列公式( )是用来计算两相流泄漏速度的。

正确答案:C,
第 7 题 (单项选择题)
最大可信事故是指在所有可预测的概率( )的事故中,对环境(或健康)危害最严重的重大事故。
A.为零 B.不为零 C.大于1 D.大于或等于1
正确答案:B,
第 8 题 (单项选择题)
下列公式( )是用来计算闪蒸蒸发量的。

正确答案:A,
第 9 题 (单项选择题)
《建设项目环境风险影响评价技术导则》(HJ/T169—2004)推荐最大可信事故概率的确定方法是()。
A.加权法 B.故障树分析法
C.因素图法 D.事件树分析法
正确答案:D,
第 10 题 (单项选择题)
生产过程潜在危险性识别是根据建设项目的生产特征,结合物质危险性识别,对项目功能系统划分功能单元,按一定的方法确定潜在的()。
A.危险单元或重大危险源 B.危险单元及重大危险源
C.危险单元 D.重大危险源
正确答案:B,