个人理财
A.期初普通年金现值系数一定大于期末普通年金现值系数
B.普通年金现值系数和复利终值系数互为倒数
C.普通年金终值系数和普通年金现值系数互为倒数
D.普通年金终值系数和复利终值系数互为倒数
E.复利终值系数和复利现值系数互为倒数
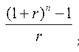
;期末普通年金终值系数为:
;复利终值系数为:(1+r)n;
复利现值r系数为:(1+r)-n;
期初年金现值等于期末年金现值的(1+r)倍;
期初年金终值等于期末年金终值的(1+r)倍。
因此有:
选项A正确:期初普通年金现值系数一定大于期末普通年金现值系数。
选项E正确,选项BCD错误:复利现值系数和复利终值系数互为倒数;
故本题选AE。
你可能感兴趣的试题
A.受托人应当每年度报告信托财产的管理运用、处分及收支情况
B.受托人应当自己处理信托事务,不得委托他人代为处理
C.受益人的信托受益权不可转让和继承
D.受益人不能清偿到期债务的,其信托受益权可以用于清偿债务,但法律行政法规以及信托文件有限制规定的除外
E.受托人违反规定,利用信托财产为自己谋取利益的,所得利益归入信托财产
A.有必要的财产和经费
B.有固定的住所
C.有自己的名称、组织机构
D.能够独立承担民事责任
E.依法成立
A.合伙制私募基金的机构投资者一般是先分红,由其自行缴纳增值税
B.合伙制私募基金不作为经济实体纳税,其投资收益由投资人自行纳税
C.公司制私募基金所投资项目上市后,通过二级市场退出时需缴纳增值税
D.合伙制私募基金的个人投资者所得税通常采用代扣代缴方式,属于先征收后分配
E.公司制私募基金的投资者以股息红利取得的收入需要承担双重税负
最新试题
个人理财的最终目的是单纯追求客户投资利益的最大化。 ( )
债券型理财产品通常被作为活期存款的替代品。 ( )
金融市场能够将资源从利用效率低的部门转移到利用效率高的部门,这反映了其交易功能。
客户财务信息是理财师制定个人财务规划的基础和根据。
意外伤害保险属于健康保险。
资产管理产品出现兑付困难时,金融机构可以按照产品净值垫资兑付。
现金管理型理财产品是投资于货币市场的理财产品,主要投资于信用级别较高的、流动性较好的金融工具,包括国债、金融债、中国人民
保险市场不属于金融市场范畴。
根据《中华人民共和国民法典》,按法人活动性质的不同,可将法人分为营利法人、非营利法人和特别法人。
ETF 基金是一种专门投资于其他证券基金的基金,并不直接投资股票或债券。
