个人理财
A.以单利计算,第3年年底的本利和是16200元
B.以复利计算,第3年年底的本利和是16232.3元
C.若单利和复利计算得到终值相等,单利利率按4%计算,则复利利率是3.898%
D.复利计息比单利计息多32.3元
E.若按复利每季度付息一次,则有效年利率是4.06%
选项A:以单利计算,第3年年底的本利和是5000*(1+3*4%)+5000*(1+2*4%)+5000*(1+4%)=16200元
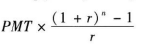
选项B:以复利计算,第三年年底的本利和是

=5000/4%*[(1+4%)^3-1]*(1+4%)=16232.3元选项C:若单利和复利计算得到终值相等,单利利率按4%计算,设复利利率为X:
银行存款按单利计算,3年后终值为: 5 000*(1+4%*3)+5 000*(1+4%*2)+5 000*(1+4%) =5 000*3.24 ——(1)
若按复利计算,3年后终值为: 5000*(1+X)*(1+X)*(1+X)+5000*(1+X)*(1+X)+5000*(1+X) ——(2)
(1)=(2)求出X=3.898%
选项D:复利计息比单利计息多16232.3-16200=32.3元
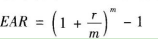
选项E:有效年利率
=(1+4%/4)^4-1=4.06%你可能感兴趣的试题
A.人身保险是以人的身体和寿命作为保险标的的一种保险
B.人身保险的投保人按照保单约定向保险人交纳保险费
C.当被保险人在合同期限内发生死亡、伤残、疾病等保险事故,由保险人依照合同约定承担给付保险金的责任
D.人身保险新型产品具有基本保障功能和资金增值功能
E.人身保险新型产品给付保险金由两部分组成:一部分是风险保障金,另一部分是投资收益
A.50岁的张非,双目失明
B.18岁的弱智人士
C.101岁的老太太
D.12岁的小明,获得多项世界数学奖项
E.22岁的罪犯
A.趸交保费超过投保人家庭年收入的3倍
B.年期交保费超过投保人家庭年收入的20%
C.月期交保费超过投保人家庭月收入的10%
D.保费交费年限与投保人年龄数字之和超过60
E.保费额度等于投保人保费预算的110%
最新试题
金融期货交易买卖的直接对象是期货合约,而不是商品本身。()
境内机构所持的金银,除经中国人民银行许可留用的原材料、设备、器皿、纪念品外,必须全部交售给中国人民银行,不得自行处理、占
基金管理人参与基金财产的保管。( )
自然人从出生时起到死亡时止,具有民事行为能力,依法享有民事权利,承担民事义务,自然人的民事行为一律平等。( &
与直接融资相比,间接融资的主动权不会受到金融中介的支配。( )
期货合约的价格有最大变动单位和浮动限额。( )
理财师必须定期为客户提供后续跟踪服务。( )
权益类理财产品投资于股票、未上市企业股权等权益类资产的比例,不得低于85%。
“制定目标一达成目标”这一时间管理方法中,因为目标设定是一个艰难的过程,所以不能轻易改变。( )
在通常情况下,信托资金不可以提前支取。( )
