交通银行
A.1.3
B.1.9
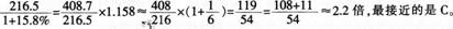
C.2.2
D.2.8
你可能感兴趣的试题
A.4.5
B.4.7
C.5.3
D.5.8
A.2011年,铜陵市战略性新兴产业完成工业总产值超过300亿元
B.2008--2012年,铜陵市规模以上工业增加值同比增速逐年上升
C.按经济类型来看,2012年铜陵市规模以上工业增加值增长最多的是外商及港澳台投资企业
D.以上说法均错误
最新试题
When will Sally Hancock's application be approved?
How will Sally Hancock receive the card?
What information is not requested in the form?
How can someone make further inquiries?
根据下面材料,回答题。 Preferred Customer Card Application Procedure P
Which of the following information is true?
What can be inferred about Mary from the memo?
Why did Mary write the memo?
According to the policy, how many vacation weeks would an
根据下面材料,回答题。 New Vacation Policy All vacation days must be t

