中级房地产经济
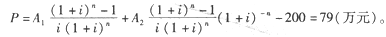
A.79
B.99
C.200
D.500

你可能感兴趣的试题
A.经营成本
B.还本付息
C.置业投资
D.经营税金
A.通货膨胀风险
B.变现风险
C.收益现金流风险
D.市场供求风险
根据以下资料,回答下列问题:
房地产开发企业在对其开发的某商品住宅进行定价之前,对项目开发成本和项目所在区域内的同类项目分别进行了测算和调研,得知该项目可租售面积的单位开发成本为6510元/平方米,四个代表性项目的售价范围为8900~9100元/平方米。在此基础上,制定了下列价格策略:
(1)项目总体均价按照成本定价法确定,并参考市场价格,预期成本利润率取25%,销售税费率取9%。
(2)对于一次性付款的买家,给予总价5%的优惠;对于一次性购买两套以上住宅的买家,给予总价3%的优惠。
(3)开盘后第一个月,若销售量未达到开盘量30%的预期目标,则考虑适当加大价格优惠力葭。
下列关于该商品住宅定价之前调研工作的说法,正确的是( )。
A.进行的调研为次级调研
B.调研方法是重点调查
C.调研对象选择采用的方法是随机抽样法
D.调研内容包括竞争项目调查
最新试题
王某如果想减少月还款额,可采取的办法为( )。
关于王某选择最优贷款方案的说法,正确的为( )。
王某购买该住宅的首付款最少为( )万元。
根据材料,回答题。 王某购买了一套建筑面积100平方米、套内建筑面积80平方米的住宅,成交价为每平方米建筑面积5000
2017年6月小区主供水设备更换费用的负担方式为( )。
该小区2016年住宅专项维修基金的管理(或代管)单位为( )。
关于2016年12月5日主供水设备损坏维修责任的说法,正确的为( )。
根据材料,回答题。 某新建住宅小区的住宅总建筑面积15万平方米,非住宅总建筑面积2万平方米,2015年3月31日竣工验
针对乙经纪机构对一套住宅的自主定价销售行为,房地产开发企业可要求至少按( )元/平方米收取该套住
甲经纪机构营销策划建议的促销活动中,属于营业推广的为( )。