感烟火灾探测器、感温火灾探测器的安装间距,应根据探测器的保护面积A和保护半径R确定,并不应超过图2探测器安装间距的极限曲线D1~D11(含D9’)规定的范围。
图2中感烟火灾探测器、感温火灾探测器的安装间距a、b是指图3中1#探测器和2#~5#相邻探测器之间的距离,不是1#探测器与6#~9#探测器之间的距离。
图2中由探测器的保护面积A和保护半径R确定探测器的安裝间距a、b的极限曲线D1~D11(含D9’)是按照下列方程绘制的:
a·b=A
a2十b2=(2R)2
这些极限曲线端点Yi和Zi坐标值(ai、bi),,即安装间距a、b在极限曲线端点的一组数值。如表3所示。
表3极限曲线端点Yi和Zi坐标值(ai、bi)

极限曲线D1~D4和D6适宜于保护面积A等于20m2、30m2和40m2及其保护半径R等于3.6m、4.4m、4.9m、5.5m、6.3m的感温火灾探测器;极限曲线D5和D7~D11(含D9’)适宜于保护面积A等于60m2、80m2、100m2和120m2及其保护半径.R等于5.8m、6.7m、7.2m、8.0m、9.0m和9.9m的感烟火灾探测器。
3、探测器的设置数量
一个探测区域内需设置的探测器数量,不应小于下式的计算值:
N=S/K·A
式中:
N——探测器数量,应取整数,只;
S——该探测区域面积,m2;
A——探测器的保护面积,m2;
K——修正系数,容纳人数超过10000人的公共场所宜取0.7~0.8,容纳人数为2000~10000人的公共场所宜取0.8~0.9,容纳人数为500-2000人的公共场所宜取0.9~1.0,其他场所可取1.0。
式中给出的修正系数K,是根据人员数量确定的,人员数量越大,疏散要求越高,就越需要尽早报警,以便尽早疏散。
4.实例
例:一个地面面积为30mx40m的生产车间,其屋顶坡度为15°,房间高度为8m,使用点型感烟火灾探测器保护。试问,应设多少只感烟火灾探测器?应如何布置这些探测器?
解:
(1)确定感烟火灾探测器的保护面积A和保护半径R。
査表1,得感烟火灾探测器保护面积为A=80m2,保护半径R=6.7m。
(2)计算所需探测器设置数量。
选取K=1.0,按公式有:
N=S/K·A
=1200/1.0x80
=15(只)
(3)确定探测器的安装间距a、b。
由保护半径R,确定保护直径D=2R=2x6.7=13.4(m),由图2可确定Di=D7,应利用D7极限曲线确定a和b值。根据现场实际,选取a=8m(极限曲线两端点间值),b=10m,其布置方式见图3。
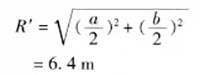
(4)校核按安装间距a=8m、b=10m布置后,探测器到最远点水平距离R’是否符合保护半径要求。按式:

即R’=6.4m,小于保护半径6.7m,所以,在保护半径之内。
