1、
……下列命题不正确的是 (5分)
正确答案:D.有理数集是有界集
请选择本题的作答情况: 得分不得分
2、
……设a,b为非零向量,下列命题正确的是 (5分)
正确答案:A.垂直于
请选择本题的作答情况: 得分不得分
3、
……设f(x)为...,则下列命题不正确的是 (5分)
正确答案:D.在 上可导
请选择本题的作答情况: 得分不得分
4、
……若矩阵...则线性方程组...解的个数 (5分)
正确答案:B.1
请选择本题的作答情况: 得分不得分
5、
……边长为4的正方体木块,各面均涂成红色...恰有两面为红色的概率是 (5分)
正确答案:A.
请选择本题的作答情况: 得分不得分
6、
……在空间直角坐标系中,双曲柱面...的交为 (5分)
正确答案:B.两条平行直线
请选择本题的作答情况: 得分不得分
7、
……下面不属于“尺规作图三大问题”的是 (5分)
正确答案:D.作一个正方形使之面积等于已知正方形面积的二倍
请选择本题的作答情况: 得分不得分
8、
……下列函数不属于初中数学课程内容的是 (5分)
正确答案:C.指数函数
请选择本题的作答情况: 得分不得分
-
9、
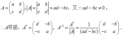
……若ad-bc≠0,求
逆矩阵 (7分)
正确答案:【答案】
-
10、
……求二次曲面
过点(1,2,5)的切平面的法向量 (7分)
正确答案:【答案】
-
11、
……设...是R到R的函数,...是函数集合...证明D是V到V上既单又满的映射。(7分)
正确答案:【答案】
-
12、
……简述选择中学数学教学方法的依据。(7分)
正确答案:【参考答案】教学方法是为了完成教学任务,达到教学目标,所采取的教与学的方式和手段,它包括教师教的方法和学生学的方法,是教师引导学生掌握知识技能,获得身心发展而共同活动的方法.一方面是教学客观的需要与实现,为目的而创造方法,另一方面是主观的选择和创造.选择中学数学教学方法的依据有:①符合教学规律和教学原则;②符合教学目标和任务;③符合教学内容的特点;④符合学生的发展水平;⑤符合教师的特长;⑥符合教学的经验性. 另外选择教学方法应考虑:=①教学内容及相应的教学目标;②各种不同层次的学生;③各种教学方法的特点.
-
13、
热点推荐»